1. 降维的意义
绝大多数机器学习方法在满足密采样的情况下,都能取得出色的分类效果。但是,在现实应用中,属性维度经常成千上万,要满足密采样条件所需的样本数目是不可能达到的。而且,很多机器学习方法都需要进行距离计算,而高维空间下的距离计算往往并不是那么容易。这被称为维数灾难。缓解维数灾难的一个重要途径是降维。
降维的好处:
- 增加样本密度。舍弃部分信息之后,能使样本的采样密度变大,这是降维的重要动机。
- 去噪。当数据受到噪声影响时,最小的特征值所对应的特征向量往往与噪声有关,将他们舍弃,在一定程度上能起到去噪的效果。
- 数据可视化
- 加速计算(减少内存占用)
2. PCA降维
PCA(Principal Component Analysis) 是一种广泛使用的降维、特征提取技术。PCA主要做的就是寻找一个低维空间—主子平面(principal subspace), 将数据映射到低维空间,并且最大限度的保留数据的信息。
PCA通常可以从两个角度来分析:
最大化方差
最大化方差就是使得数据点在低维空间上的投影点之间方差最大化,图中绿色点之间的方差,也就是使得投影到低维空间的点尽可能分开。最小化误差
最小化误差就是使得数据到投影点之间的平均平方距离(称为平均投影代价)最小,图中蓝色线表示,也就是使得样本点到低维空间的距离都尽可能近。
3. 最大方差形式的推导
对于一组样本数据 ,其中 。设是一个 D 维向量的变量,首先考虑将其投影到一维空间,使用 D 维向量定义这个一维空间的方向。由于只考虑方向,可以假定 。
首先,原空间的中心点为:
投影到一维空间的后方差为:
S为协方差矩阵,定义为:
接下来的目标是最大化方差,可是得避免$||\mu_{1}|| \rightarrow{\infty}$,因此需要加上约束条件,用拉格朗日乘子法:
最大化上式,对求导,令其为零,得到:
左乘, 同时,方差为:
所以,是与最大特征值对应的特征向量。此特征向量为第一主成分。因此,现在考虑降维到M维,只需计算出对应M个最大特征值对应的特征向量就可以取得M个正交的方向向量,组成低维空间。
4. PCA算法流程
5. Python 代码实现
def procHomogenization(data):
"""
数据中心化和方差归一化
:param 样本数据,以维度为列,样本为行
"""
dimension , = data[0].shape;
meanData = np.zeros(data.shape)
for i in range (dimension):
mean = np.mean(data[:,i])
std = np.std(data[:,i])
meanData[:,i] = (data[:,i] - mean) / std
return meanData
def calCovarianceMatrix(data):
m = data.shape[0];
sigma = np.dot(A.transpose(), data)
return sigma
def getEigenVector(sigma):
"""
计算特征向量阵
:return 按特征值降序排列的特征向量矩阵
"""
dimeFeatures = sigma.shape[0]
eigVal, eigVec = np.linalg.eig(sigma)
eigPairs = [(np.abs(eigVal[i]), eigVec[:,i]) for i in range(dimeFeatures)]
eigPairs.sort(reverse=True)
eigenVector =np.array([eigItem[1] for eigItem in eigPairs])
return eigenVector
def MyPCA(data, k) :
"""
定义自己PCA
:param data: 样本数据集,(n*m) n 个样本,m 维特征
:param k: 降维后的维度
:return res: 降维后的矩阵
"""
meanSample = procHomogenization(data)
sigma = calCovarianceMatrix(meanSample)
eigenVector = getEigenVector(sigma)
UReduce = getUReduce(eigenVector, k)
res = np.dot(meanSample, UReduce)
return res, UReduce
6. 数据测试
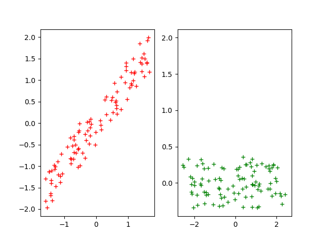
二维数据旋转
生成2维数据共100组,分布如下:
对数据进行中心化和方差归一化处理后,并进行旋转
提取一维主成分部分数据如下:array([[ 0.13579288], [-0.09891702], [ 0.75763766], [ 0.97635069], [ 0.02776545], [-0.75645382], [-1.02380704], [-0.46413714], [ 3.13828174], [ 0.50013366], [-1.48368739], [ 0.38566847], [ 0.58097642], [-0.13145981], [-1.74202934], [-1.7404379 ],人脸数据测试
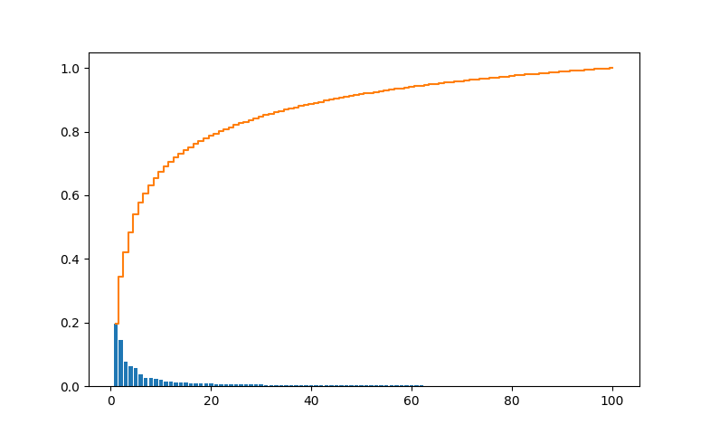
选择常见的ORL人脸数据库,由剑桥大学AT&T实验室创建,包含40人共400张面部图像。
展示部分原始图像如下:
对这四百张人脸图像进行主成分提取,将每一幅图像拉成一列,组成数据集合(112*92,400),进行主成分提取。各方差所占比例分布如下:
可以看到,30个维度就已经保留了图像的大部分信息。
Reference
- Christopher M. Bishop etc., Pattern Recognition and Machine Learning, Springer, 2006
- 周志华, 机器学习
- 斯坦福,主成分分析
- 机器学习中的数学(4)-线性判别分析(LDA), 主成分分析(PCA)
在博主学习过程中,参考了许多他人作品,并整理到笔记,后根据笔记作此篇文章,如文中有引用他人作品部分,还请指出,以添加说明。
请多多指教!

